Поделиться
Значительное ускорение инфляции в конце прошлого года затронуло юг России не меньше, чем другие регионы страны. Рост цен не смог сдержать даже значительный вес сельского хозяйства и пищепрома в экономике большинства южных территорий. В декабре прошлого года темпы роста цен на продовольствие в трёх крупнейших регионах ЮФО — Краснодарском крае, Ростовской и Волгоградской областях — оказались выше среднероссийских.
Двузначная инфляция фактически ставит под вопрос эффективность программ по импортозамещению. В ряде южных регионов тот же АПК в прошлом году заметно прибавил обороты, однако разгон цен на продовольствие при отсутствии роста реальных доходов населения фактически нейтрализовал этот эффект — люди уже начали экономить на продуктах. К тому же предновогодний всплеск, связанный с падением курса рубля, продолжился и после завершения праздников, а когда инфляцию удастся загнать хотя бы в пределы 10%, сегодня не берётся предсказать никто — слишком велик уровень экономической турбулентности, отягощённой политическими факторами.
Тем не менее, в экономике юга России есть и такие отрасли, которые быстро ощутили положительный эффект от макроэкономических потрясений. Это, к примеру, внутренний туризм — по сообщению администрации Краснодарского края, из 200 тысяч человек, посетивших Сочи на Новый год, примерно 60% сделали это впервые, в том числе из-за того, что отдых на европейских горнолыжных курортах стал неприлично дорог. Еще одна выигравшая от девальвации отрасль — это виноделие, практически полностью сосредоточенное на Юге, включая Крым. Но это пока, к сожалению, единичные примеры, не делающие общей погоды — в целом уже понятно, что новый кризис ударит и по бизнесу, и по обычным потребителям гораздо жёстче, чем предыдущий.
Сводки с продовольственных фронтов
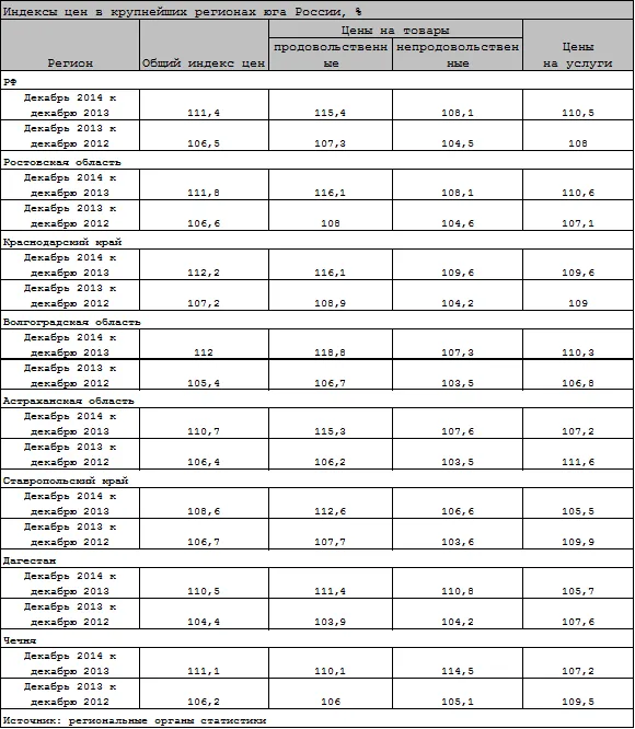
Почти во всех крупных регионах юга России общий индекс потребительских цен в прошлом декабре в сравнении с декабрём 2013 года превысил 110% (см. таблицу). Некоторым исключением стал Ставропольский край, где общий уровень инфляции не преодолел двузначную планку. Однако это объясняется незначительным ростом цен на непродовольственные товары и услуги, цены же на продовольствие на Ставрополье подросли почти на 13%. Антирекорд в этом ключевом сегменте поставила Волгоградская область, где продуктовые цены в прошлом декабре увеличились к декабрю 2013 года аж на 18,8%.В числе продуктов питания, сыгравших основную роль в разгоне инфляции, оказались практически все продовольственные товары повседневного спроса. Например, в Ростовской области по итогам прошлого года был отмечен рост цен на крупы и бобовые на 45,8%, на сахар на 45,2%, на сыры на 20,9%, на мясопродукты на 20,1%, на овощи на 22,7%, на фрукты и цитрусовые на 20,7%, на молоко и молочную продукцию и рыбопродукты на 15,5%, на сливочное масло на 15,3% и так далее.
Свою лепту в двузначный уровень инфляции внесли и некоторые непродовольственные товары, прежде всего те, в которых в том или ином виде заложена валютная составляющая. В той же Ростовской области, по данным местного органа статистики, в конце прошлого года медикаменты подорожали на 12,4%, моторное топливо — на 9,9%, легковые автомобили — на 8,2%, бытовая химия и парфюмерия — на 8–9%, а услуги ЖКХ выросли в цене почти на 13%. При этом среднемесячная заработная плата на Дону за 11 месяцев прошлого года увеличилась всего на 8,1%, что в реальном исчислении дало практически нулевой рост.
Особенно болезненным ускорение инфляции стало для небогатых республик Северного Кавказа, где стоимость минимального набора продуктов питания и так не слишком отличалась от более развитых регионов Юга. Два региона СКФО, Чечня и Ингушетия, в которых собственное производство многих товаров обыденного спроса минимально, в прошлом декабре, по данным Росстата, вошли в число пяти регионов страны, где был зафиксирован самый высокий месячный уровень инфляции — порядка 4–5%. В результате к концу прошлого года стоимость минимальной потребительской корзины в Чечне оказалась самой дорогой на юге России, заметно превысив средний уровень по стране (3 368 и 3 298 рублей соответственно).
Причём всё это — лишь официальные данные: реальный уровень инфляции, похоже, от них существенно отличается. Как указывают аналитики «Эксперт РА» (см. «Эксперт» № 5 от 26 января — 1 февраля), традиционный показатель Росстата — изменение индекса потребительских цен к соответствующему месяцу прошлого года — не даёт достоверной картины. А более точный индикатор — рост цен к предыдущему месяцу после сезонной корректировки — показывает, что инфляция в России в декабре-январе уже зашкалила за 30% годовых, тогда как в последние пару лет этот показатель почти не превышал 10%.
Но самой неприятной новостью стало то, что в январе цены, вопреки обычному своему поведению после новогодних праздников, продолжили расти. Например, в Краснодарском крае в январе было зафиксировано значительное еженедельное увеличение стоимости рыбы, подсолнечного масла, сахара, чая, риса, капусты, лука, моркови, яблок. В Ростовской области всего за одну неделю, 19–26 января, заметно подорожали говядина, картофель и морковь. И это ещё не конец, поскольку даже по консервативному прогнозу Минэкономразвития РФ пик инфляции придётся на март-апрель и составит в годовом выражении 15–17%.
Показательная, но бесперспективная порка
Разгон инфляции поставил в сложное положение не только потребителей, но и торговые организации, прежде всего сетевую розницу, которую только ленивый не успел назвать главным виновником роста цен. Такая постановка вопроса не лишена оснований (см. «Пищевики поймали момент» , «Эксперт ЮГ» № 1–4 от 22 декабря 2014 года), однако в последние недели сети превратились в настоящего козла отпущения для региональных властей.Вот лишь один характерный пример. В середине января несколько чиновников мэрии Ростова-на-Дону по поручению главы городской администрации Сергея Горбаня совершили объезд ряда сетевых магазинов, чтобы проконтролировать уровень цен на 24 группы товаров. В первом же супермаркете был обнаружен сахар по цене 49,9 рубля за килограмм при закупочной цене в 45 рублей, после чего по рекомендации одного из проверяющих цену снизили до 47,2 рубля. В другом сетевом магазине такие же меры были предприняты в отношении цен на сахар, гречку и подсолнечное масло. Кроме того, в мэрии появился телефон «горячей линии», по которому можно сообщить о «росте цен в торговой сети, об отсутствии товаров или указании цены в иностранной валюте».
В ряде южных регионов к мониторингу цен активно подключились правоохранительные органы. Например, в Ставропольском крае в конце января по результатам прокурорской проверки было возбуждено 42 административных дела о нарушениях законодательства о ценообразовании и вынесено 38 представлений. В фокусе внимания прокуроров оказались, опять же, цены на сахар, гречку и рис: в ходе проверок выяснилось, что они выросли на 20–40%. Это дало основание предположить, что «со стороны заинтересованных лиц в результате сговора предпринята попытка спровоцировать ажиотаж с целью массовой скупки продукции и резкого обогащения соответствующего круга предпринимателей».
В соседней Кабардино-Балкарии прокуроры заинтересовались ценами на лекарства: проверки прошли по всех 12 компаниях, ведущих оптовую торговлю фармпродукцией, и в половине розничных организаций; в результате было выявлено более 20 нарушений. Кроме того, прокуратура Эльбрусского района КБР сообщила о повышении цен на 30% в местном магазине сети «Магнит»; результаты проверки направлены в УФАС.
Подобные акции сейчас проходят чуть ли не в каждом регионе страны, но их эффективность вызывает серьёзные сомнения. Если взять тот же рынок сахара, то здесь рост цен обусловлен вовсе не одним желанием производителей и сетей заработать. Как отмечают в итоговом обзоре российского АПК аналитики Института конъюнктуры аграрного рынка, ключевой проблемой наступающего сезона станет «своевременное обеспечение хозяйств и агрохолдингов семенами эффективных гибридов сахарной свёклы (а также удобрениями, средствами защиты, ГСМ и прочим)».
Однако не секрет, что семенной материал сахарной свёклы, равно как и многие средства химзащиты, в Россию в основном поставляется из-за рубежа и покупается за валюту, что создаёт существенные риски для производителей. Например, по недавнему сообщению Союза сахаропроизводителей России со ссылкой на министерство сельского хозяйства Ставропольского края, в регионе сохраняются угрозы обеспеченности семенами зарубежной селекции по подсолнечнику, сахарной свёкле, овощным культурам. А депутаты краевой думы уточнили, что причинами роста цен на сахар являются использование импортного сырья и рост расходов на лизинг оборудования — опять же, в валюте.
Практически во всех крупных регионах юга России инфляция по итогам 2014 года оказалась двузначной

Поделиться
Незадолго до этого аграрии пожаловались губернатору Ставрополья Владимиру Владимирову на рост цен на минеральные удобрения — и это также легко объяснить ситуацией с курсом валют. После резкой девальвации рубля экспортёры получили серьёзный стимул для наращивания экспорта удобрений, что не могло не отразиться на внутренних ценах. Государство отреагировало на это в привычном административном духе, предложив ограничить экспорт удобрений (в середине января об этом заявил заместитель председателя комитета Госдумы по аграрным вопросам Айрат Хайруллин) — по аналогии с уже введёнными ограничениями на экспорт пшеницы, цена на которую в конце прошлого года также пустилась в рост из-за девальвации рубля.
Кто зарабатывает на девальвации
Действительно, у производителей многих товарных групп сейчас наиболее непростая ситуация, поскольку, в отличие от торговых организаций (особенно крупноформатных), они не имеют значительного пространства для ценовых маневров и напрямую зависят от рисков валютной и денежно-кредитной политики.«Некоторые виды сырья подорожали даже больше, чем снизился курс национальной валюты. Например, ягоды из Литвы или Польши, которые мы получаем, подорожали не на 50–70 процентов, а в два-три раза», — рассказывает генеральный директор ростовского агропромышленного объединения «Хозяинъ» Андрей Волков. По его словам, рост цен на продукцию объясняется объективными причинами, но при этом компания столкнулась с тем, что некоторые сети не хотели повышать цены, так как опасались повышенного внимания со стороны контролирующих органов. «Возможно, они перестраховывались, а возможно, просто манипулировали производителями, чтобы перетянуть на себя часть трафика из других сетей», — предполагает г-н Волков.
Тем не менее, некоторые южные производители федерального масштаба пока не дрогнули. Например, холдинг «Евродон», крупнейший российский производитель мяса индейки и утки, сообщает о повышении цен на свою продукцию на 8%, но в компании утверждают, что это не связано с инфляцией. «Это чуть выше уровня роста в прошлом году, — поясняют в пресс-службе “Евродона”. — Если всё дорожает, это не значит, что нужно корыстно увеличивать цену за продукт на пустом месте».
Вполне оптимистично смотрят в будущее южные виноделы. После того, как розница в конце прошлого года предъявила покупателям новые цены на импортные вина, отечественная продукция получила значительное ценовое преимущество. На Винном форуме недавней столичной выставки «Продэкспо» даже прозвучал следующий прогноз: столовые вина из Евросоюза в этом году подорожают вплоть до 80–100%.
Однако полностью заместить импорт отечественной продукцией точно не получится — существующего объёма производства качественных российских вин для этого попросту недостаточно. А кроме того, в конечной цене вина из российского винограда также заложена валютная составляющая в виде оборудования и технологий, не говоря уже о тех отечественных производителях, которые делают продукцию из привозного виноматериала. Поэтому, по мнению экспертов рынка, определённое повышение цен в этом году неизбежно.
В куда более сложной ситуации окажутся компании, работающие на рынках товаров долгосрочного потребления. Правда, в конце прошлого года в дни свободного падения рубля они-таки познали свои «15 минут славы»: рассказывают, что в одной из крупных ростовских строительных компаний отделу продаж даже пришлось выключать телефоны, потому что количество обращений превосходило возможности менеджеров. Спасая свои сбережения от падающего рубля, многие быстро принимали решение вложить их в самый беспроигрышный актив — недвижимость. Примерно то же самое творилось и в магазинах бытовой техники, куда ринулись желающие купить гаджеты по старой цене в преддверии неизбежного подорожания. По данным компании «Связной», в Ростове-на-Дону рост выручки от продаж смартфонов в октябре–декабре составил почти 50%, тогда как за предыдущие 9 месяцев — всего 14%. Всплеск продаж был отмечен и в премиум-сегменте автомобильного рынка.
Однако перспективы некоторых из этих рынков на 2015 год пока не слишком отрадны. «Спрос на жилую недвижимость за последние три-пять месяцев заметно снизился, — констатирует генеральный директор строительной компании «ЮИТ-Дон» Андрей Шумеев. — Предполагаем, что в 2015 году на рынке жилой недвижимости в нашем регионе не будет резкого колебания спроса. Более высоким спросом, как и прежде, будут пользоваться небольшие квартиры эконом-класса. Однако высокая степень зависимости рынка от политической и макроэкономической ситуации ставит любой прогноз под сомнение».
Соучредитель ростовской строительной компании «РемСпецСтрой» Касым Сонер Озмен ожидает в этом году хаотичный рост цен на недвижимость в связи с нестабильностью курса рубля, хотя в целом, по его мнению, у рынка будет положительная динамика, поскольку он прошёл хорошую проверку на прочность ещё во время предыдущего кризиса, в 2008–2009 годах. Этому должно способствовать и прозвучавшее 3 февраля на заседании российского правительства предложение выделить 20 млрд рублей на субсидирование ипотеки и снижение ставки по ней до 13% годовых.


